2011年1至10月,我国外贸进出口总值29753.8亿美元,比上年同期增长24.3%,进出口规模已经超过2010年全年29740亿美元的水平。其中,出口...

作者: rantiku 人气: - 评论: 0
问题 2011年1至10月,我国外贸进出口总值29753.8亿美元,比上年同期增长24.3%,进出口规模已经超过2010年全年29740亿美元的水平。其中,出口15497亿美元,增长22%;进口 14256.8亿美元,增长26.9%。贸易顺差1240.2亿美元,收窄15.4%。 10月份,我国进出口总值为2979.5亿美元,增长21.6%其中出口 1574.9亿美元,增长 15.9%;进口 1404.6亿美元,增长28.7%。当月贸易顺差170.3亿美元,收窄36.5%。 前10个月,我国一般贸易进出口 15699.6亿美元,增长31.6%。其中出口 7482.8亿美元, 增长29.2%;进口 8216.8亿美元,增长33.9%。一般贸易项下出现逆差734亿美元,扩大1.1倍。 同期,我国加工贸易进出口 10719.5亿美元,增长14.2%。其中出口 6846.1亿美元,增长14.6%; 进口 3873.4亿美元,增长13.5%加工贸易项下的顺差为2972.7亿美元,扩大16.1%。 前10个月,广东省外贸进出口总值7473.7亿美元,增长19.1%同期,江苏省、上海市和北京市进出口值分别为4441.4亿、3608.5亿和3174.8亿美元,分别增长17.5%、20.7% 30.4%。 此外,浙江省、山东省和福建省进出口值分别为2548亿、1934.1亿和1151.1亿美元,分别增长 23.6%、26.4%和31.6%。上述7省市进出口值合计占全国进出口总值的81.8%。从出口方面来看,前10个月,广东省出口 4340亿美元,增长20.5%。同期,江苏省、浙江省和上海市分别出口2574.4亿、1785.9亿和1731.1亿美元,分别增长17.4%、21.1% 17.6%。此外,山东省、福建省和北京市分别出口 1040.6亿、744.7亿和481.2亿美元,分别增长23.5%、29.2% 6..1%。 2011年10月我国进出口贸易差额占1-10月份的()。 A.10.4% B.12.6% C.13.7% D.14.8%
选项
答案 C
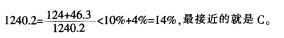
解析 由第一段、第二段可知,2011年10月我国进出口贸易差额占1-10月份的170.3÷

猜你喜欢

发表评论
更多 网友评论0 条评论)
暂无评论

访问排行

Copyright © 2012-2014 恰考网 Inc. 保留所有权利。 Powered by tikuer.com

页面耗时0.0515秒, 内存占用1.03 MB, Cache:redis,访问数据库14次