2011年前三季度,我国软件产业收人增速呈逐月上升态势,9月份实现软件业务收人1882 亿元,同比增长39.3%。累计到9月底,我国软件产业共实现软件业务...

作者: rantiku 人气: - 评论: 0
问题 2011年前三季度,我国软件产业收人增速呈逐月上升态势,9月份实现软件业务收人1882 亿元,同比增长39.3%。累计到9月底,我国软件产业共实现软件业务收人13002亿元,同比增 长31.7%,比上年同期提高1.4个百分点;实现利润总额1578亿元,同比增长22.1%. 2011年1-9月软件业务收入情况 累计到9月底,信息技术咨询服务、数据处理和运营服务实现收人1253和1805亿元,同 比增长44.8%和38.0%,其中9月分别增长84.7%和50.7%。软件产品、嵌入式系统软件增长快 于去年,实现收入4558和2174亿元,同比增长31.2%和30.5%,分别比上年同期高6.1和6.4 个百分点。信息系统集成服务发展平稳,实现收人1821亿元,同比增长26.9%。IC设计增长放 缓,实现收入391亿元,同比增长16.1%,低于上年同期20个百分点以上。 能够从上述资料中推出的是()。 A.2011年前三季度,月度软件产业收入低于月均收人的有3个月 B.2011年前三季度软件产业收人高于2009年同期超过70% C.2011年前三季度,信息系统集成服务收人占软件产业收人的比重略高于上年同期 D.2010年前三季度,嵌入式系统软件收人同比增长速度快于IC设计收人
选项
答案 B
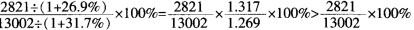
解析 A项,计算较为复杂,先跳过。 B项,由文字第一段可知,2011年前三季度软件产业收人高于2009年同期(1+31.7%)x(1+31.7%-1.4%)-1= 1+31.7%+(31.7%-1.4%)+31.7%x(31.7%-1.4%)-1=31.7%+30.3%+31.7%x30.3%>61%+30%x30%=70%,B 正确。 C项,由文字部分可知,2011年前三季度信息系统集成服务收人占软件产业收人的比重为,2010年同期占比为亿元,最接近的就是C。略低于上年同期,C错误。 D项,由文字第二段可知,2010年前三季度,嵌人式系统软件收人同比增长30.5%-6.4%30%,D错误。 综上,正确选项就是B项。

猜你喜欢

发表评论
更多 网友评论0 条评论)
暂无评论
错误啦!

错误信息

  • 消息: [程序异常] : MISCONF Redis is configured to save RDB snapshots, but it's currently unable to persist to disk. Commands that may modify the data set are disabled, because this instance is configured to report errors during writes if RDB snapshotting fails (stop-writes-on-bgsave-error option). Please check the Redis logs for details about the RDB error.
  • 文件: /twcms/kongphp/cache/cache_redis.class.php
  • 位置: 第 85 行
    <?php echo 'KongPHP, Road to Jane.'; ?>