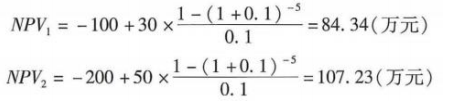
现有两个方案,其净现金流量见表 2-3,基准收益率为 10%,试用净现值法评价方案。

作者: tihaiku 人气: - 评论: 0
问题 现有两个方案,其净现金流量见表 2-3,基准收益率为 10%,试用净现值法评价方案。
选项
答案
解析 计算出各方案的净现值如下: 因为 NPV2>NPV1,所以方案 2 的经济效果优于方案 1。
发表评论
更多 网友评论0 条评论)
暂无评论

访问排行

Copyright © 2012-2014 恰考网 Inc. 保留所有权利。 Powered by tikuer.com

页面耗时0.0443秒, 内存占用1.03 MB, Cache:redis,访问数据库19次