2020年7月,完成某合同工程额为150万元。其中可调部分所占工程额的比例:人工费40%(B1)、钢材25%(B2)、水泥20%(B3)。根据合同约定,该...

作者: tihaiku 人气: - 评论: 0
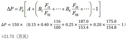
问题 2020年7月,完成某合同工程额为150万元。其中可调部分所占工程额的比例:人工费40%(B1)、钢材25%(B2)、水泥20%(B3)。根据合同约定,该工程的其他费用不调整(即不调值的费用A)占工程额的15%,求2020年7月价格调整金额。   假定该合同的原始报价基准日期为2017年6月1日,2018年7月完成的工程量价款为100万元,有关月份的材料物价指数见下表:
选项
答案
解析 具体的人工费及材料费的调值公式为:

相关内容:2020年,合同,工程,150万元,可调,部分,比例,人工费,钢材,水泥,根据,约定

猜你喜欢

发表评论
更多 网友评论0 条评论)
暂无评论

访问排行

Copyright © 2012-2014 恰考网 Inc. 保留所有权利。 Powered by tikuer.com

页面耗时0.0358秒, 内存占用1.05 MB, Cache:redis,访问数据库20次