某项目 2018 年 9 月完成工程价款为 100 万元。其组成为:土方工程费 10 万元,占 10%;砌体工程费 40 万元,占 40%;钢筋混凝土工程...

作者: tihaiku 人气: - 评论: 0
问题 某项目 2018 年 9 月完成工程价款为 100 万元。其组成为:土方工程费 10 万元,占 10%;砌体工程费 40 万元,占 40%;钢筋混凝土工程费 50 万元,占 50%。这三个组成部分的人工费和材料费占工程价款 85%,人工材料费中各项费用比例如下: (1)土方工程:人工费 50%、机具折旧费 26%、柴油 24%。 (2)砌体工程:人工费 53010、钢材 5%、水泥 20%、集料 5%、片石 12%、柴油 5%。 (3)钢筋混凝土工程:人工费 53%、钢材 22%、水泥 10%、集料 7%、木材 4%、柴油 4%。 根据合同约定,该工程的其他费用不调整(即不调值的费用)占工程价款的 15%,求 2018 年价格调整金额。
选项
答案
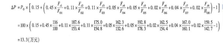
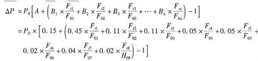
解析 计算出各项参与调值的费用占工程价款的比例如下: 人工费:(50%×10%+53%×40%+53%×50%)×85%≈45% 钢材:(5%x40%+22%×50%)×85%≈11% 水泥:(20%×40%+10%×50%)×85%≈11% 集料:(5%×40%+7%×50%)×85%≈5% 柴油:(24%×10%+5%×40%+4%×50%)×85%≈5% 机具折旧:26%×10%×85%≈2% 片石:12%x40%×85%≈4% 木材:4%x50%×85%≈2% 具体的人工费及材料费的调值公式为: 假定该合同的原始报价基准日期为 2017 年 4 月 5 日,2018 年 9 月完成的工程量价款为 100 万元,有关月报的工资、材料物价指数如表 7-5 所示。 则 2018 年 9 月的工程款经过调值后其调值金额为:

相关内容:项目,工程,价款,万元,其组,土方,工程费,砌体,钢筋混凝土

猜你喜欢

发表评论
更多 网友评论0 条评论)
暂无评论

访问排行

Copyright © 2012-2014 恰考网 Inc. 保留所有权利。 Powered by tikuer.com

页面耗时0.0308秒, 内存占用1.05 MB, Cache:redis,访问数据库19次