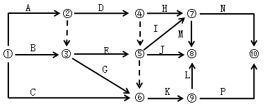
某分部工程双代号网络计划如下图所示,图中的错误有( )。 A.工作代号重复 B.节点编号有误 C.多个起点节点 D.多个终点节点 E.存在循环回路

作者: tihaiku 人气: - 评论: 0
问题 某分部工程双代号网络计划如下图所示,图中的错误有( )。
选项 A.工作代号重复 B.节点编号有误 C.多个起点节点 D.多个终点节点 E.存在循环回路
答案 BD
解析 本题考查的是双代号网络计划图的绘制。(1)节点8、9指向,节点编号错误。   (2)节点8、10均为终点,存在多个终点节点。

相关内容:分部,工程,代号,网络,计划,下图,错误,工作,节点,编号,起点,终点,循环,回路

猜你喜欢

发表评论
更多 网友评论0 条评论)
暂无评论

访问排行

Copyright © 2012-2014 恰考网 Inc. 保留所有权利。 Powered by tikuer.com

页面耗时0.0293秒, 内存占用1.05 MB, Cache:redis,访问数据库18次