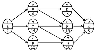
某工程单代号网络计划如下图所示(时间单位:天),下列说法错误的是( )。
A.工作E是非关键工作
B.工作B的自由时差为0
C.工作D的总时差为...
相关内容:工程,单代号,代号,网络,计划,下图,时间,单位,说法,错误,工作,非关键,时差
- 某高速公路建设项目,业主与施工单位签订了工程施工合同,工程未进行投保。在工程施工过程中,遭遇特大暴风雨和洪水不可抗力袭击,使工程遭受到大损失,施工单位及时...
- 某高速公路B合同段为桥梁工程,业主与H监理公司签订了监理合同,业主与D公司签订了施工合同,监理工程师在进行监理工作过程中发现以下[问题](1)在钢筋骨架焊...
- 某工程项目施工采用了包工包全部材料的固定价格合同。工程招标文件参考资料中提供的用砂地点距工地4km。但是开工后,检查该砂质量不符合要求,承包人只得从另一距...
- 某工程项目施工采用了包工包全部材料的固定价格合同。工程招标文件参考资料中提供的用砂地点距工地4km。但是开工后,检查该砂质量不符合要求,承包人只得从另一距...
- 某工程项目施工采用了包工包全部材料的固定价格合同。工程招标文件参考资料中提供的用砂地点距工地4km。但是开工后,检查该砂质量不符合要求,承包人只得从另一距...
- 某工程项目施工采用了包工包全部材料的固定价格合同。工程招标文件参考资料中提供的用砂地点距工地4km。但是开工后,检查该砂质量不符合要求,承包人只得从另一距...
- 某构件厂的一次质量检查中,对生产的某批构件进行全面检测,经检测,得出下表所示的统计数据。
【问题】(1)监理工程师宜选择哪种方法来分析存在的质量问题?
...
- 某施工单位承包了一项公路桥梁工程建设项目。施工单位进场后进行施工准备,开工前向监理提交了施工组织设计和基础工程施工方案。监理工程师审核后,分析了施工方案可...
- 某施工单位承包了一项公路桥梁工程建设项目。施工单位进场后进行施工准备,开工前向监理提交了施工组织设计和基础工程施工方案。监理工程师审核后,分析了施工方案可...
- 某大桥工程建设项目,该工程由某桥梁公司施工,业主委托某监理公司进行施工监理,监理公司任命具有多年桥梁设计工作经验的高级工程师任项目总监理工程师。该桥基础为...