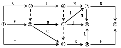
某分部工程双代号网络计划如下图所示,图中的错误有( )。
A.工作代号重复
B.节点编号有误
C.多个起点节点
D.多个终点节点
E.存在循环回路
相关内容:分部,工程,代号,网络,计划,下图,错误,工作,节点,编号,起点,终点,循环,回路
- 诚信监理公司承担了某公路桥梁项目的施工监理任务,该工程由甲施工单位总承包。甲施工单位选择了经建设单位同意并经监理工程师进行资格审查合格的乙施工单位作为分包...
- 诚信监理公司承担了某公路桥梁项目的施工监理任务,该工程由甲施工单位总承包。甲施工单位选择了经建设单位同意并经监理工程师进行资格审查合格的乙施工单位作为分包...
- 某建设工程项目的施工网络计划如图6-9所示。在施工过程中,由于业主直接原因、不可抗力因素和施工单位原因对各项工作的持续时间产生一定的影响,其结果如表6-1...
- 某建设工程项目的施工网络计划如图6-9所示。在施工过程中,由于业主直接原因、不可抗力因素和施工单位原因对各项工作的持续时间产生一定的影响,其结果如表6-1...
- 某公路工程原施工网络计划如图6—8所示,该工程总工期为一年,在工程按计划进行14周后(已完成A、B两项工程施工),业主方向承包方提出增加一项新的土方工程项...
- 某公路工程原施工网络计划如图6—8所示,该工程总工期为一年,在工程按计划进行14周后(已完成A、B两项工程施工),业主方向承包方提出增加一项新的土方工程项...
- 某公路建设项目,采用《公路工程标准施工招标文件》合同条款,施工合同的签约合同价为5000万元,合同工期为12个月。该工程2009年4月1日开工,2009年...
- 某公路建设项目,采用《公路工程标准施工招标文件》合同条款,施工合同的签约合同价为5000万元,合同工期为12个月。该工程2009年4月1日开工,2009年...
- 某公路工程项目业主通过公开招标,与承包人签订了工程施工合同,合同中含甲、乙两个子项工程。甲、乙两个子项工程的估算工程量:甲项为2300rr13,乙项为32...
- 某桥梁工程施工项目的签约合同价为1750万元,该工程所签订的合同为可调值合同,合同报价日期为2006年3月,合同工期为12个月,每个季度结算一次。工程开工...