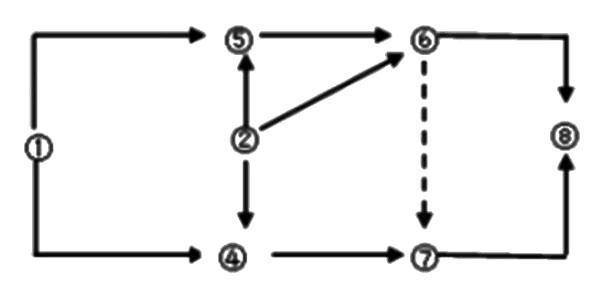
其工程双代号网络图如下图所示,存在的绘错误是( )。A.多个起点节点 B.多个终点节点 C.节点编号有误 D.存在循环回路

作者: tihaiku 人气: - 评论: 0
问题 其工程双代号网络图如下图所示,存在的绘错误是( )。
选项 A.多个起点节点
B.多个终点节点
C.节点编号有误
D.存在循环回路
答案 A
解析 考查双代号网络图的绘制,常规考点。有两个起始节点。

相关内容:工程,代号,网络,图如,下图,错误,起点,节点,终点,编号,循环,回路

猜你喜欢

发表评论
更多 网友评论0 条评论)
暂无评论

访问排行

Copyright © 2012-2014 恰考网 Inc. 保留所有权利。 Powered by tikuer.com

页面耗时0.0457秒, 内存占用1.05 MB, Cache:redis,访问数据库19次