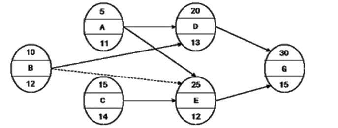
已知各工作的逻辑关系如表所示,依表所绘制的单代号网络计划如图所示,其中绘制错误的有( )。 工作名称 A B C D E G 紧后工作 D、E D...

作者: tihaiku 人气: - 评论: 0
问题 已知各工作的逻辑关系如表所示,依表所绘制的单代号网络计划如图所示,其中绘制错误的有( )。 工作名称 A B C D E G 紧后工作 D、E D、E E G G - 持续时间 11 12 14 13 12 15
选项 A.节点编号错误
B.出现多余的虚箭线
C.逻辑关系错误
D.存在多个起点节点
E.存在多个终点节点
答案 BD
解析 本题考查的是网络图的绘制。在单代号网络图中不存在虚箭线;工作A、B、C均为开始工作,应 增设一项虚拟的工作,作为该网络图的起点节点。

相关内容:工作,逻辑,关系,依表所,单代号,代号,网络,计划,如图,错误,名称

猜你喜欢

发表评论
更多 网友评论0 条评论)
暂无评论

访问排行

Copyright © 2012-2014 恰考网 Inc. 保留所有权利。 Powered by tikuer.com

页面耗时0.0401秒, 内存占用1.05 MB, Cache:redis,访问数据库19次