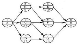
某工程单代号网络计划如下图所示(时间单位:天),下列说法正确的有( )。 A.工作E是关键工作 B.工作B的自由时差为0 C.工作D的总时差为2...

作者: tihaiku 人气: - 评论: 0
问题 某工程单代号网络计划如下图所示(时间单位:天),下列说法正确的有( )。
选项 A.工作E是关键工作 B.工作B的自由时差为0 C.工作D的总时差为2天 D.工作F的最迟开始时间为21天 E.有两条关键线路
答案 BC
解析 本题考查的是单代号网络计划与计算。选项E,关键线路有一条:A→C→G→H,计算总工期为45天。通过计算可得,工作D的总时差为2天,工作B的自由时差为0天。选项A,E不是关键工作。选项D,工作F的最早开始时间为21天。

相关内容:工程,单代号,代号,网络,计划,下图,时间,单位,说法,工作,关键,时差

猜你喜欢

发表评论
更多 网友评论0 条评论)
暂无评论

访问排行

Copyright © 2012-2014 恰考网 Inc. 保留所有权利。 Powered by tikuer.com

页面耗时0.0379秒, 内存占用1.04 MB, Cache:redis,访问数据库14次