某工作最短估计时间是5 天,最长估计时间是10 天,最可能估计时间是6 天。根据三时估算法,该工作的持续时间是( )天。A.6.25 B.6.5 C....

作者: tihaiku 人气: - 评论: 0
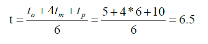
问题 某工作最短估计时间是5 天,最长估计时间是10 天,最可能估计时间是6 天。根据三时估算法,该工作的持续时间是( )天。
选项 A.6.25 B.6.5 C.6.75 D.7
答案 B
解析

相关内容:工作,时间,可能,根据,算法,A.6.25

猜你喜欢

发表评论
更多 网友评论0 条评论)
暂无评论

访问排行

Copyright © 2012-2014 恰考网 Inc. 保留所有权利。 Powered by tikuer.com

页面耗时0.0339秒, 内存占用1.04 MB, Cache:redis,访问数据库17次