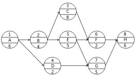
某工程单代号网络计划如下图所示(图中节点上方数字为节点编号),其中关键路线有( )。 A.1—2—3—8 B.1—2—3—6—8 C.1—2—5...

作者: tihaiku 人气: - 评论: 0
问题 某工程单代号网络计划如下图所示(图中节点上方数字为节点编号),其中关键路线有( )。
选项 A.1—2—3—8 B.1—2—3—6—8 C.1—2—5—6—8 D.1—2—5—7—8 E.1—4—7—8
答案 BD
解析 本题考查的是关键路线法(CPM)。依次计算各选项工期,选项A,不存在;选项B,工期26天;选项C,工期23天;选项D,工期26天;选项E,工期19天,关键线路为B、D。

相关内容:工程,单代号,代号,网络,计划,下图,图中,节点,数字,编号,关键,路线

猜你喜欢

发表评论
更多 网友评论0 条评论)
暂无评论

访问排行

Copyright © 2012-2014 恰考网 Inc. 保留所有权利。 Powered by tikuer.com

页面耗时0.0371秒, 内存占用1.05 MB, Cache:redis,访问数据库20次