某企业拟5年内每年投入资金20万元用于技术改造,企业准备存入一笔钱以设立基金,提供每年技术改造所需用的资金。已知年利率为6%,复利计息,问企业现在应存入基...

作者: tihaiku 人气: - 评论: 0
问题 某企业拟5年内每年投入资金20万元用于技术改造,企业准备存入一笔钱以设立基金,提供每年技术改造所需用的资金。已知年利率为6%,复利计息,问企业现在应存入基金(  )万元。
选项 A.89.4 B.112.7 C.84.3 D.69.3
答案 C
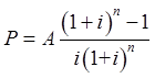
解析 本题是一个已知年金求现值的问题,计算公式如下: 故本题中,企业现在应存入基金:

相关内容:企业,年内,资金,20万元,技术改造,基金,年利率,复利

猜你喜欢

发表评论
更多 网友评论0 条评论)
暂无评论

访问排行

Copyright © 2012-2014 恰考网 Inc. 保留所有权利。 Powered by tikuer.com

页面耗时0.0322秒, 内存占用1.04 MB, Cache:redis,访问数据库17次