某项目期初以年利率6%投资200万元,拟计划5年内等额回收全部投资复利本利和,每年可回收的资金为(  )万元。A.35.5 B.45.7 C.47.5...

作者: tihaiku 人气: - 评论: 0
问题 某项目期初以年利率6%投资200万元,拟计划5年内等额回收全部投资复利本利和,每年可回收的资金为(  )万元。
选项 A.35.5 B.45.7 C.47.5 D.57.7
答案 C
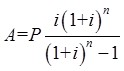
解析 本题是一个已知现值求年金的问题,计算公式如下: 故本题中,每年可回收的资金为

相关内容:项目,年利率,投资,200万元,计划,年内,等额,回收,复利,本利,资金,万元,A.35.5,B.45.7,C.47.5...

猜你喜欢

发表评论
更多 网友评论0 条评论)
暂无评论

访问排行

Copyright © 2012-2014 恰考网 Inc. 保留所有权利。 Powered by tikuer.com

页面耗时0.0453秒, 内存占用1.04 MB, Cache:redis,访问数据库18次