某建设项目,当i1=25%时,净现值为200万元,当i2=30%时,净现值为-60万元,该建设项目的内部收益率为()A:21.25% B:28.50% ...

作者: tihaiku 人气: - 评论: 0
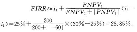
问题 某建设项目,当i1=25%时,净现值为200万元,当i2=30%时,净现值为-60万元,该建设项目的内部收益率为()
选项 A:21.25% B:28.50% C:28.85% D:32.14%
答案 C
解析

猜你喜欢

发表评论
更多 网友评论0 条评论)
暂无评论

访问排行

Copyright © 2012-2014 恰考网 Inc. 保留所有权利。 Powered by tikuer.com

页面耗时0.0388秒, 内存占用1.03 MB, Cache:redis,访问数据库17次