某建筑物基础工程的施工过程、施工段划分和流水节拍(天)见下表。如果组织非节奏流水施工,则基础二浇筑完工时间为第()天。A:9 B:11 C:14 D:15

作者: tihaiku 人气: - 评论: 0
问题 某建筑物基础工程的施工过程、施工段划分和流水节拍(天)见下表。如果组织非节奏流水施工,则基础二浇筑完工时间为第()天。
选项 A:9 B:11 C:14 D:15
答案 A
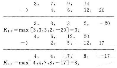
解析 本工程应按非节奏流水施工方式组织施工。①确定施工段数m=4。②确定施工过程数n=3,包括基础开挖、浇筑混凝土、回填。③采用“累加数列错位相减取大差法”求流水步距:

④计算流水施工工期:T=∑K+∑tn=(3+8)+(2+3+7+5)=28天,基础二浇筑完工时间为第3+4+2=9(天)。

相关内容:建筑物,基础工程,施工,过程,施工段,工段,流水,节拍,组织,节奏,基础,时间

猜你喜欢

发表评论
更多 网友评论0 条评论)
暂无评论

访问排行

Copyright © 2012-2014 恰考网 Inc. 保留所有权利。 Powered by tikuer.com

页面耗时0.0582秒, 内存占用1.05 MB, Cache:redis,访问数据库18次