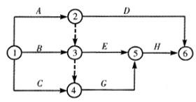
在下列双代号网络图中,互为平行工作的有()A:工作A和工作B B:工作A和工作E C:工作A和工作G D:工作B和工作G E:工作B和工作C

作者: tihaiku 人气: - 评论: 0
问题 在下列双代号网络图中,互为平行工作的有()
选项 A:工作A和工作B B:工作A和工作E C:工作A和工作G D:工作B和工作G E:工作B和工作C
答案 AE
解析 在网络图中,相对于某工作而言,可以与该工作同时进行的工作即为该工作的平行工作。

相关内容:代号,网络,图中,平行,工作

猜你喜欢

发表评论
更多 网友评论0 条评论)
暂无评论

访问排行

Copyright © 2012-2014 恰考网 Inc. 保留所有权利。 Powered by tikuer.com

页面耗时0.0310秒, 内存占用1.05 MB, Cache:redis,访问数据库19次