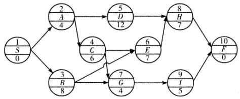
某工程单代号网络计划如下图所示,图中关键工作有()A:工作A B:工作B C:工作C D:工作D E:工作E

作者: tihaiku 人气: - 评论: 0
问题 某工程单代号网络计划如下图所示,图中关键工作有()
选项 A:工作A B:工作B C:工作C D:工作D E:工作E
答案 ACE
解析 确定单代号网络计划的关键线路有两种方法:①利用关键工作确定关键线路。总时差最小的工作为关键线路。将这些关键工作相连,并保证相邻两项关键工作之间的时间间隔为零而构成的线路就是关键线路。②利用相邻两项工作之间的时间间隔确定关键线路。从网络计划的终结点开始,逆着箭线方向依次找出相邻两项工作之间时间间隔为零的线路就是关键线路。

相关内容:工程,单代号,代号,网络,计划,下图,图中,关键,工作

猜你喜欢

发表评论
更多 网友评论0 条评论)
暂无评论

访问排行

Copyright © 2012-2014 恰考网 Inc. 保留所有权利。 Powered by tikuer.com

页面耗时0.0325秒, 内存占用1.04 MB, Cache:redis,访问数据库17次