某投资方案的净现金流量及累计净现金流量如下表所示,则该投资方案的静态投资回收期是(  )年。 A.5.25 B.5.33 C.5.50 ...

作者: tihaiku 人气: - 评论: 0
问题 某投资方案的净现金流量及累计净现金流量如下表所示,则该投资方案的静态投资回收期是(  )年。
选项 A.5.25 B.5.33 C.5.50 D.5.66
答案 B
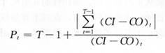
解析 考点: “静态投资回收期的计算分析”。项目投资回收期(Pt)更为实用的表达式为: 式中T——项目各年累计净现金流量首次为正值的年份数; (CI-CO)t——第t年的净现金流量。 本题中第6年累计净现值首次出现正值。故T=6。根据公式可知: 因此,本题的正确答案为B。

相关内容:投资,方案,现金流量,静态,回收期,A.5.25,B.5.33,C.5.50

猜你喜欢

发表评论
更多 网友评论0 条评论)
暂无评论

访问排行

Copyright © 2012-2014 恰考网 Inc. 保留所有权利。 Powered by tikuer.com

页面耗时0.0586秒, 内存占用1.05 MB, Cache:redis,访问数据库20次