某工程设备采购合同签订时,设备有关材料的物价指数为120,人工成本指数为80,设备合同价为8.2万美元,双方合同明确,合同价中固定费用占20%,材料费用占...

作者: tihaiku 人气: - 评论: 0
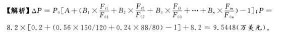
问题 某工程设备采购合同签订时,设备有关材料的物价指数为120,人工成本指数为80,设备合同价为8.2万美元,双方合同明确,合同价中固定费用占20%,材料费用占56%,人工成本占24%,三个月后交货采用动态结算。结算时,材料物价指数为150,人工成本指数为88,则设备的结算款是(  )万美元。
选项 A.8.3152 B.8.5232 C.9.5448 D.9.5232
答案 C
解析

相关内容:工程设备,采购,合同,设备,有关,材料,人工,成本,指数,合同价,万美元,双方,费用

发表评论
更多 网友评论0 条评论)
暂无评论

访问排行

Copyright © 2012-2014 恰考网 Inc. 保留所有权利。 Powered by tikuer.com

页面耗时0.0480秒, 内存占用1.05 MB, Cache:redis,访问数据库19次