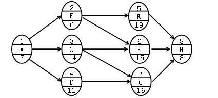
某工程单代号网络计划如下图所示(时间单位:天),下列说法错误的是( )。 A、工作E是非关键工作 B、工作B的自由时差为0 C、工作D的总时差为...

作者: tihaiku 人气: - 评论: 0
问题 某工程单代号网络计划如下图所示(时间单位:天),下列说法错误的是( )。
选项 A、工作E是非关键工作 B、工作B的自由时差为0 C、工作D的总时差为2天 D、工作F的最迟开始时间为21天
答案 D
解析 本题考查的是单代号网络计划时间参数的计算。经计算可知关键线路为A→C→G→H;工作F的最迟开始时间为22天;工作D的总时差为2天;工作B的自由时差为0;工作E为非关键工作。参见教材P56。

相关内容:工程,单代号,代号,网络,计划,下图,时间,单位,说法,错误,工作,非关键,时差

猜你喜欢

发表评论
更多 网友评论0 条评论)
暂无评论

访问排行

Copyright © 2012-2014 恰考网 Inc. 保留所有权利。 Powered by tikuer.com

页面耗时0.0459秒, 内存占用1.03 MB, Cache:redis,访问数据库14次