某分部工程划分为2个施工过程、3个施工段组织流水施工,流水节拍分别为2天、4天、3天和3天、5天、4天,则流水施工工期为()天。A.12 B.13 C...

作者: tihaiku 人气: - 评论: 0
问题 某分部工程划分为2个施工过程、3个施工段组织流水施工,流水节拍分别为2天、4天、3天和3天、5天、4天,则流水施工工期为()天。
选项 A.12 B.13 C.14 D.15
答案 D
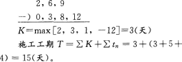
解析 2021/2020教材P32-34 本题考查的是流水施工工期的确定。累加数列错位相减取大差法计算流水步距:

相关内容:分部,工程,施工,过程,施工段,工段,组织,流水,节拍,工期

猜你喜欢

发表评论
更多 网友评论0 条评论)
暂无评论

访问排行

Copyright © 2012-2014 恰考网 Inc. 保留所有权利。 Powered by tikuer.com

页面耗时0.0331秒, 内存占用1.05 MB, Cache:redis,访问数据库18次