某工程由4个施工过程组成,分为4个施工段进行流水施工,其流水节拍(天)见表2—7,则流水施工工期为()天。 A.17天 B.18天 C.19天 ...

作者: tihaiku 人气: - 评论: 0
问题 某工程由4个施工过程组成,分为4个施工段进行流水施工,其流水节拍(天)见表2—7,则流水施工工期为()天。
选项 A.17天 B.18天 C.19天 D.20天
答案 C
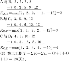
解析 2021/2020教材P32-34 本题考查的是流水施工工期的确定。 (1)求各施工过程流水节拍的累加数列: 施工过程A:2,5,7,8 施工过程B:3,5,9,12 施工过程C:4,6,10,12 施工过程D:3,6,8,10 (2)错位相减求得流水步距:

相关内容:工程,施工,过程,施工段,工段,流水,节拍,工期

猜你喜欢

发表评论
更多 网友评论0 条评论)
暂无评论

访问排行

Copyright © 2012-2014 恰考网 Inc. 保留所有权利。 Powered by tikuer.com

页面耗时0.0430秒, 内存占用1.04 MB, Cache:redis,访问数据库15次