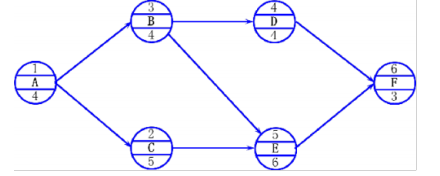
某工程的网络计划如下图所示时间单位为天),图中工作B和E之间、工作C和E之间的时间间隔分别是 ( )天 A.1和0 B.5和4 C.0和0 D.4和4

作者: tihaiku 人气: - 评论: 0
问题 某工程的网络计划如下图所示时间单位为天),图中工作B和E之间、工作C和E之间的时间间隔分别是 ( )天
选项 A.1和0 B.5和4 C.0和0 D.4和4
答案 A
解析

相关内容:工程,网络,计划,下图,时间,单位,图中,工作,间隔

猜你喜欢

发表评论
更多 网友评论0 条评论)
暂无评论

访问排行

Copyright © 2012-2014 恰考网 Inc. 保留所有权利。 Powered by tikuer.com

页面耗时0.0324秒, 内存占用1.05 MB, Cache:redis,访问数据库18次