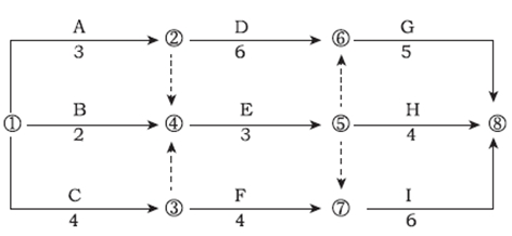
某工程双代号网络计划如图3—10所示,其中E工作的最早开始时间和最迟开始时间是()。 A.3和5 B.3和6 C.4和5 D.4和6

作者: tihaiku 人气: - 评论: 0
问题 某工程双代号网络计划如图3—10所示,其中E工作的最早开始时间和最迟开始时间是()。
选项 A.3和5 B.3和6 C.4和5 D.4和6
答案 C
解析 2021/2020教材P46-55 本题考查的是双代号网络计划时间参数的计算。关键线路:①→②→⑥→⑧和①→③→⑦→⑧。计算工期=3+6+5=14,E工作最早开始时间是4,最迟开始时间是5。

相关内容:工程,代号,网络,计划,如图,10所示,工作,时间

猜你喜欢

发表评论
更多 网友评论0 条评论)
暂无评论

访问排行

Copyright © 2012-2014 恰考网 Inc. 保留所有权利。 Powered by tikuer.com

页面耗时0.0426秒, 内存占用1.05 MB, Cache:redis,访问数据库19次