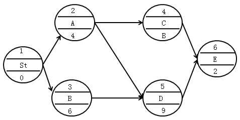
某单代号网络计划如下图,工作A、D之间的时间间隔是( )天。 A.0 B.1 C.2 D.3

作者: tihaiku 人气: - 评论: 0
问题 某单代号网络计划如下图,工作A、D之间的时间间隔是( )天。
选项 A.0 B.1 C.2 D.3
答案 C
解析 本题考查的是工程网络计划有关时间参数的计算。相邻两项工作之间的时间间隔等于紧后工作的最早开始时间和本工作的最早完成时间之差。工作A的最早完成时间为4,工作D的最早开始时间为6,6-4=2,故工作A、D之间的时间间隔为2天。

相关内容:某单,代号,网络,计划,下图,工作,时间,间隔

猜你喜欢

发表评论
更多 网友评论0 条评论)
暂无评论

访问排行

Copyright © 2012-2014 恰考网 Inc. 保留所有权利。 Powered by tikuer.com

页面耗时0.0444秒, 内存占用1.05 MB, Cache:redis,访问数据库20次