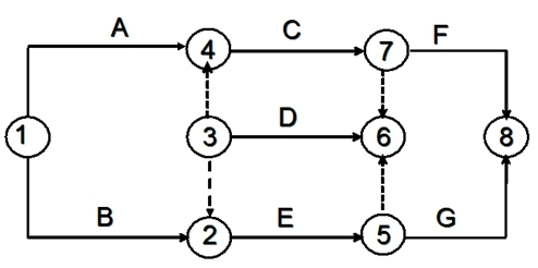
某双代号网络图计划如下图所示,图中错误的有( )。 A.多个起点节点 B.存在循环回路 C.多个终点节点 D.节点编号有误 E.工作代号重复

作者: tihaiku 人气: - 评论: 0
问题 某双代号网络图计划如下图所示,图中错误的有( )。
选项 A.多个起点节点 B.存在循环回路 C.多个终点节点 D.节点编号有误 E.工作代号重复
答案 ACD
解析 新版P37-43 选项A,节点1和节点3均为起点节点; 选项C,节点6和节点8均为终点节点; 选项D,工作3-2,7-6属于节点编号有误,网络图中的节点都必须有编号,其编号严禁重复,并应使每一条箭线上箭尾节点编号小于箭头节点编号。

相关内容:某双,代号,网络,计划,下图,图中,错误,起点,节点,循环,回路,终点,编号,工作

猜你喜欢

发表评论
更多 网友评论0 条评论)
暂无评论

访问排行

Copyright © 2012-2014 恰考网 Inc. 保留所有权利。 Powered by tikuer.com

页面耗时0.0404秒, 内存占用1.05 MB, Cache:redis,访问数据库20次