三角形的内角和为180°,问六边形的内角和是多少度?( )A.720 B.600 C.480 D.260

作者: rantiku 人气: - 评论: 0
问题 三角形的内角和为180°,问六边形的内角和是多少度?( ) A.720 B.600 C.480 D.260
选项
答案 A
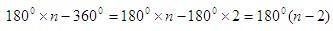
解析 。六边形的内角和就是6个三角形的内角和360°;因为,一个六边形以它的内部任意作一点,连接到各角,可组成6个三角形每一个三角形都有一个角在这一点上,也正好围成一个圆,所以要减去360°;所以有公式:多边形的内角和,其中: 表示多边形的数。

猜你喜欢

发表评论
更多 网友评论0 条评论)
暂无评论

访问排行

Copyright © 2012-2014 恰考网 Inc. 保留所有权利。 Powered by tikuer.com

页面耗时0.0438秒, 内存占用1.03 MB, Cache:redis,访问数据库18次