2009年城镇基本养老保险基金收入约为()亿元。A.8892 B.9876C.11519 D.12220

作者: rantiku 人气: - 评论: 0
问题 2009年城镇基本养老保险基金收入约为()亿元。 A.8892 B.9876 C.11519 D.12220
选项
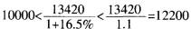
答案 C
解析 2009年城镇基本养老保险收人约为亿元。,只有C符合。

猜你喜欢

发表评论
更多 网友评论0 条评论)
暂无评论

访问排行

Copyright © 2012-2014 恰考网 Inc. 保留所有权利。 Powered by tikuer.com

页面耗时0.0331秒, 内存占用1.03 MB, Cache:redis,访问数据库18次