一元线性回归模型的总体回归直线可表示为()。

作者: tihaiku 人气: - 评论: 0
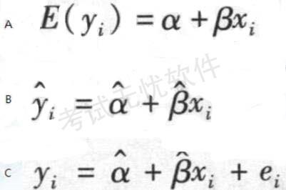
问题 一元线性回归模型的总体回归直线可表示为()。
选项
答案 A
解析 对一元回归方程yi=α+βxi+μi两边同时取均值,则有E(yi)= α+βxi。表明点(xi,E(yi))在E(yi)=α+βxi对应的直线上,这条直线即为总体回归直线(或理论回归直线)。

相关内容:线性,模型,总体,直线

猜你喜欢

发表评论
更多 网友评论0 条评论)
暂无评论

Copyright © 2012-2014 恰考网 Inc. 保留所有权利。 Powered by tikuer.com

页面耗时0.0419秒, 内存占用1.04 MB, Cache:redis,访问数据库20次