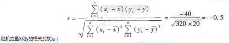
已知变量x和y的协方差为-40,x的方差为320,y的方差为20,其相关系数为()A 0.5 B -0.5 C 0.01 D -0.01

作者: tihaiku 人气: - 评论: 0
问题 已知变量x和y的协方差为-40,x的方差为320,y的方差为20,其相关系数为()
选项 A 0.5 B -0.5 C 0.01 D -0.01
答案 B
解析

相关内容:变量,方差,相关,系数

猜你喜欢

发表评论
更多 网友评论0 条评论)
暂无评论

Copyright © 2012-2014 恰考网 Inc. 保留所有权利。 Powered by tikuer.com

页面耗时0.0343秒, 内存占用1.05 MB, Cache:redis,访问数据库18次