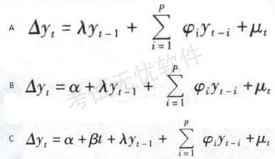
ADF检验的模型形式有()。

作者: tihaiku 人气: - 评论: 0
问题 ADF检验的模型形式有()。
选项
答案 ABC
解析 检验时间序列的平稳性方法通常采用单位根检验,常用的单位根检验方法有DF检验和ADF检验。

相关内容:检验,模型,形式

猜你喜欢

发表评论
更多 网友评论0 条评论)
暂无评论

Copyright © 2012-2014 恰考网 Inc. 保留所有权利。 Powered by tikuer.com

页面耗时0.0330秒, 内存占用1.05 MB, Cache:redis,访问数据库19次