IMB股票(不支付红利)的市场价格为80美元,无风险利率为15%,股票的年波动率为10%,当执行价格为80美元、期限为1年的欧式看涨期权的理论价格()。A...

作者: tihaiku 人气: - 评论: 0
问题 IMB股票(不支付红利)的市场价格为80美元,无风险利率为15%,股票的年波动率为10%,当执行价格为80美元、期限为1年的欧式看涨期权的理论价格()。
选项 A. 5.29 B. 11.36 C. 16.32 D. 18.25
答案 B
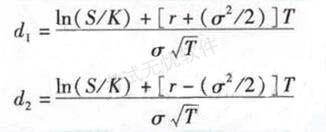
解析 S=80美元;K=80美元;T=1年;r=0.15;σ=0.1, d1=1.55,d2=1.45, 查看正态分布表得到,N(d1)=0.9394,N(d2)=0.9265 欧式看涨期权=80x0.9394-80x0.9265e-0.15x1=11.36

相关内容:股票,支付,红利,市场价格,美元,风险,利率,波动率,价格,期限,看涨,期权,理论

猜你喜欢

发表评论
更多 网友评论0 条评论)
暂无评论

Copyright © 2012-2014 恰考网 Inc. 保留所有权利。 Powered by tikuer.com

页面耗时0.0334秒, 内存占用1.03 MB, Cache:redis,访问数据库13次