市场中,某股票的股价为30美元/股,股票年波动率为0.12,无风险年利率为5%,预计50天后股票分红0.8美元/股,求6个 后到期,执行价为31美元的欧...

作者: tihaiku 人气: - 评论: 0
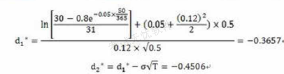
问题 市场中,某股票的股价为30美元/股,股票年波动率为0.12,无风险年利率为5%,预计50天后股票分红0.8美元/股,求6个 后到期,执行价为31美元的欧式看涨期权的理论价格?
选项 A 0.5726 B 0.5678 C 0.5565 D 0.4356
答案 A
解析 已知:S=30,K=31,r=5%,δ=0.12,I=0.8 则: 故有: N(d1*) = 0.3573,N (d2*) = 0.3262 欧式看涨期权的理论价格为: C≈29.21 x 0.3573 - 31 x 0.9753 x 0.3262 = 0.5726 (美元)

相关内容:市场,股票,股价,美元,波动率,风险,年利率,天后,分红,到期

猜你喜欢

发表评论
更多 网友评论0 条评论)
暂无评论

Copyright © 2012-2014 恰考网 Inc. 保留所有权利。 Powered by tikuer.com

页面耗时0.0410秒, 内存占用1.04 MB, Cache:redis,访问数据库18次