策略A和策略B收益情况 1月 2月 3月 4月 5月 6月 策略A 10% 10% 1...

作者: tihaiku 人气: - 评论: 0
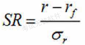
问题 策略A和策略B收益情况 1月 2月 3月 4月 5月 6月 策略A 10% 10% 10% 10% 10% -10% 策略B 5.00% 25 .00% 6% -1% 25% -4% 已知策略A和策略B的收益情况,假设莲花无风险利率为6% 。 则策略A和策略B的夏普比率分别是( ) 。
选项 A 0.53 B 0.83 C 0.76 D 0.56
答案 BC
解析 易得,策略A的月均收益率为6.67%,标准差为7.45%,夏普比率的计算公式为: 月度无风险率为6%/12=0.5%,则策略A的夏普比率为(6.67%-0.5%) /7.45%=0.83,同理可得策略B的月均收益率为9.33%,标准差为11.59%,夏普比率为0.76。

相关内容:策略,收益,情况

猜你喜欢

发表评论
更多 网友评论0 条评论)
暂无评论

Copyright © 2012-2014 恰考网 Inc. 保留所有权利。 Powered by tikuer.com

页面耗时0.0365秒, 内存占用1.04 MB, Cache:redis,访问数据库20次