在著名的心灵感应试验中,两个试验者A和B分别在两个房间,裁判给A分发了3红3黑的6张扑克牌,每发一张,要求B说出什么颜色的牌,B只知道共发了3红3黑的6张...

作者: tihaiku 人气: - 评论: 0
问题 在著名的心灵感应试验中,两个试验者A和B分别在两个房间,裁判给A分发了3红3黑的6张扑克牌,每发一张,要求B说出什么颜色的牌,B只知道共发了3红3黑的6张牌。 如果A、B之间没有心灵感应,则六张牌中说对4张以上的概率是多少?
选项 A、 0.45 B、 0.5 C、 0.65 D、 0.8
答案 B
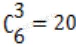
解析 假如A、B之间没有心灵感应,6张牌中说对4张的概率为=9种场合,说对6张的概率为1种场合,请注意不可能说对5张,因为是3红3黒。说对4张以上的场合为9+1=10种场合。全部3红3黑的构成 。所以,说对4张以上场合的概率为10/20=0. 5。

相关内容:心灵,感应,两个,房间,扑克牌,每发,要求,颜色,共发

猜你喜欢

发表评论
更多 网友评论0 条评论)
暂无评论

Copyright © 2012-2014 恰考网 Inc. 保留所有权利。 Powered by tikuer.com

页面耗时0.0370秒, 内存占用1.04 MB, Cache:redis,访问数据库17次