某投资者与投资银行签订了一个为期2年的股权互换,名义本金为100万美元,每半年互换一次。在此互换中,他将支付一个固定利率以换取标普500指数的收益率。合约...

作者: rantiku 人气: - 评论: 0
问题 某投资者与投资银行签订了一个为期2年的股权互换,名义本金为100万美元,每半年互换一次。在此互换中,他将支付一个固定利率以换取标普500指数的收益率。合约签订之初,标普500指数为1150.89点,当前利率期限结构如表2—7所示。表2-7利率期限结构表(一) 等160天后,标普500指数为1204.10点,新的利率期限结构如表2—8所示。 表2—8利率期限结构表(二) 此题中该投资者持有的互换合约的价值是(  )万美元。 查看材料
选项 A.1.0462 B.2.4300 C.1.0219 D.2.0681
答案 B
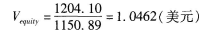
解析 首先,计算美元固定利率债券价格。假设名义本金为1美元,160天后固定利率债券的价格为0.0315*(0.9970+0.9662+0.9331+0.9022)+1*(0.9022)=1.0219(美元)。 其次,计算权益部分的价值。 最后,由于合约名义本金为l00万美元,则对于该投资者来说其价值为(1.0462-1.0219)*100=2.43(万美元)。

猜你喜欢

发表评论
更多 网友评论0 条评论)
暂无评论

访问排行

Copyright © 2012-2014 恰考网 Inc. 保留所有权利。 Powered by tikuer.com

页面耗时0.0422秒, 内存占用1.03 MB, Cache:redis,访问数据库19次