假设IBM股票(不支付红利)的市场价格为50美元,无风险利率为12%,股票的年波动率为10%,那么价格为50美元,期限为一年的欧式看涨期权和看跌期权的理论...

作者: rantiku 人气: - 评论: 0
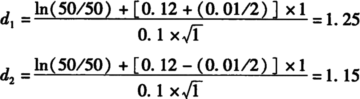
问题 假设IBM股票(不支付红利)的市场价格为50美元,无风险利率为12%,股票的年波动率为10%,那么价格为50美元,期限为一年的欧式看涨期权和看跌期权的理论价格分别是(  )。
选项 A.5.92,0.27 B.6.21,2.12 C.6.15,1.25 D.0.1,5.12
答案 A
解析 已知:S=50美元;K=50美元;T=1年;r=0.12;σ=0.1。 故有:N(d1)=0.8944N(d2)=0.8749 如此,欧式看涨期权和看跌期权的理论价格分别为: C=50*0.8944-50*0.8749e-0.12*1=5.92(美元) P=50*(1-0.8749)e-0.12*1-50*(1-0.8944) =0.27(美元) 考点:B-S-M模型

猜你喜欢

发表评论
更多 网友评论0 条评论)
暂无评论

访问排行

Copyright © 2012-2014 恰考网 Inc. 保留所有权利。 Powered by tikuer.com

页面耗时0.0227秒, 内存占用1.03 MB, Cache:redis,访问数据库19次