某证券基金将总资金M的一部分投资于一个股票组合。这个股票组合的β值为βs,占用资金S。剩余资金投资于股指期货,保证金比率设为12%,股指期货占用的资金为P...

作者: rantiku 人气: - 评论: 0
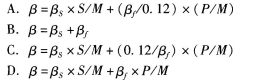
问题 某证券基金将总资金M的一部分投资于一个股票组合。这个股票组合的β值为βs,占用资金S。剩余资金投资于股指期货,保证金比率设为12%,股指期货占用的资金为P。股指期货价格对于沪深300指数的卢值设为β?。则股票组合和股指期货整个投资组合的总β值为(  )。
选项
答案 A
解析

猜你喜欢

发表评论
更多 网友评论0 条评论)
暂无评论

访问排行

Copyright © 2012-2014 恰考网 Inc. 保留所有权利。 Powered by tikuer.com

页面耗时0.0360秒, 内存占用1.03 MB, Cache:redis,访问数据库19次