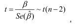
根据题目中提供的信息,确定参数β1 的标准误差约为( )。A.1.145 B.0.043 C.0.383 D.0.815

作者: rantiku 人气: - 评论: 0
问题 根据题目中提供的信息,确定参数β1 的标准误差约为( )。
选项 A.1.145 B.0.043 C.0.383 D.0.815
答案 B
解析 所以贝塔 1 的标准误差为 0.81/18.7=0.043。

猜你喜欢

发表评论
更多 网友评论0 条评论)
暂无评论

访问排行

Copyright © 2012-2014 恰考网 Inc. 保留所有权利。 Powered by tikuer.com

页面耗时0.0328秒, 内存占用1.03 MB, Cache:redis,访问数据库18次