假定某投资者按1000元的价格购买了年利息收入为80元的债券,并持有2年后以1060元的价格卖山那么该投资者的持有期收益率为( )。A: 6.53% ...

作者: rantiku 人气: - 评论: 0
问题 假定某投资者按1000元的价格购买了年利息收入为80元的债券,并持有2年后以1060元的价格卖山那么该投资者的持有期收益率为( )。
选项 A: 6.53% B: 8.91% C: 10.85% D: 14.21%
答案 C
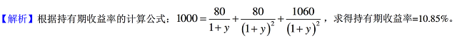
解析

猜你喜欢

发表评论
更多 网友评论0 条评论)
暂无评论

访问排行

Copyright © 2012-2014 恰考网 Inc. 保留所有权利。 Powered by tikuer.com

页面耗时0.0303秒, 内存占用1.03 MB, Cache:redis,访问数据库16次