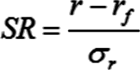
已知策略A和策略B的收益情况如下图所示,假设无风险利率为6%。则策略A和策略B的夏普比率分别是(  )。 {图1}A.0.53;0.83 B.0....

作者: rantiku 人气: - 评论: 0
问题 已知策略A和策略B的收益情况如下图所示,假设无风险利率为6%。则策略A和策略B的夏普比率分别是(  )。 {图1}
选项 A.0.53;0.83 B.0.83;0.76 C.0.76;0.65 D.0.56;0.45
答案 B
解析 策略A的月均收益率为6.67%,标准差为7.45%,夏普比率的计算公式为: 月度无风险利率为6%/12=0.5%,则策略A的夏普比率为(6.67%-0.5%)/7.45%=0.83; 同理可得策略B的月均收益率为9.33%,标准差为11.59%,夏普比率为(9.33%-0.5%)/11.59%=0.76。 考点:模型的测试与评估方法

猜你喜欢

发表评论
更多 网友评论0 条评论)
暂无评论

访问排行

Copyright © 2012-2014 恰考网 Inc. 保留所有权利。 Powered by tikuer.com

页面耗时0.0633秒, 内存占用1.03 MB, Cache:redis,访问数据库19次