某无息债券的而值为1000元,期限为2年,发行价为880元,到期按而值偿还。 该债券的到期收益率为( )。A: 6% B: 6.6% C: 1...

作者: rantiku 人气: - 评论: 0
问题 某无息债券的而值为1000元,期限为2年,发行价为880元,到期按而值偿还。 该债券的到期收益率为( )。
选项 A: 6% B: 6.6% C: 12% D: 13.2%
答案 B
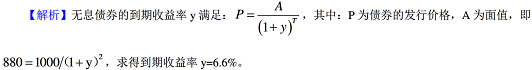
解析

猜你喜欢

发表评论
更多 网友评论0 条评论)
暂无评论

访问排行

Copyright © 2012-2014 恰考网 Inc. 保留所有权利。 Powered by tikuer.com

页面耗时0.0516秒, 内存占用1.03 MB, Cache:redis,访问数据库19次