如果一种债券的价格上涨,其到期收益率必然( )。A: 不确定 B: 不变 C: 下降 D: 上升

作者: rantiku 人气: - 评论: 0
问题 如果一种债券的价格上涨,其到期收益率必然( )。
选项 A: 不确定 B: 不变 C: 下降 D: 上升
答案 C
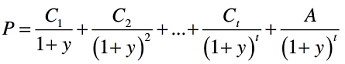
解析 假设债券市场价格为P,未来现金流分别为C1,C2,……Ct,A。若存在贴现率y,使得未来现金流按此贴现率贴现现值等于债券的市场价格,应满足:则y称为债券的到期收益率。由公式叫见,债券的到期收益率与债券的价格呈反比, 债券的价格上升,到期收益率下降。

猜你喜欢

发表评论
更多 网友评论0 条评论)
暂无评论

访问排行

Copyright © 2012-2014 恰考网 Inc. 保留所有权利。 Powered by tikuer.com

页面耗时0.0324秒, 内存占用1.03 MB, Cache:redis,访问数据库18次