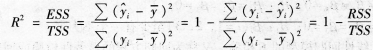
根据上述回归方程式计算的多重判定系数为0.9235,其正确的含义是( )。A.在Y的总变差中,有92.35%可以由解释变量X1和X2解释 B.在Y的总...

作者: rantiku 人气: - 评论: 0
问题 根据上述回归方程式计算的多重判定系数为0.9235,其正确的含义是( )。
选项 A.在Y的总变差中,有92.35%可以由解释变量X1和X2解释 B.在Y的总变差中,有92.35%可以由解释变量X1解释 C.在Y的总变差中,有92.35%可以由解释变量X2解释 D.在Y的变化中,有92.35%是由解释变量X1和X2决定的.
答案 A
解析 决定系数是多元线性回归平方和占总平方和的比例,计算公式为: 决定系数R2度量了多元线性回归方程的拟合程度,它可以解释为,:在因变量y的总变差中被估计的多元线性回归方程所揭示的比例。

猜你喜欢

发表评论
更多 网友评论0 条评论)
暂无评论

访问排行

Copyright © 2012-2014 恰考网 Inc. 保留所有权利。 Powered by tikuer.com

页面耗时0.0595秒, 内存占用1.03 MB, Cache:redis,访问数据库18次