(4) 回归系数检验统计量的值分别为( )A: 65.4286; 0.09623 B: 0.09623; 65.4286 C: 3.2857;1....

作者: rantiku 人气: - 评论: 0
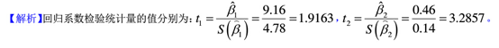
问题 (4) 回归系数检验统计量的值分别为( )
选项 A: 65.4286; 0.09623 B: 0.09623; 65.4286 C: 3.2857;1.9163 D: 1.9163;3.2857
答案 D
解析

猜你喜欢

发表评论
更多 网友评论0 条评论)
暂无评论

访问排行

Copyright © 2012-2014 恰考网 Inc. 保留所有权利。 Powered by tikuer.com

页面耗时0.0382秒, 内存占用1.03 MB, Cache:redis,访问数据库18次