若X~B(n,p)且E(X)=6,D(X)=3,则P(X=1)的值为()。A:3*2-4B:3*2-8C:3*2-10D:3*2-12

作者: rantiku 人气: - 评论: 0
问题 若X~B(n,p)且E(X)=6,D(X)=3,则P(X=1)的值为()。
选项 A:3*2-4 B:3*2-8 C:3*2-10 D:3*2-12
答案 C
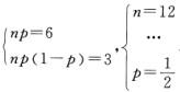
解析 随机变量X服从参数为n和p的二项分布,所以E(X)=np,D(X)=np(1-p),所以,所以P(X=1)=12*(1/2)12=3*2-10。

猜你喜欢

发表评论
更多 网友评论0 条评论)
暂无评论

访问排行

Copyright © 2012-2014 恰考网 Inc. 保留所有权利。 Powered by tikuer.com

页面耗时0.0350秒, 内存占用1.03 MB, Cache:redis,访问数据库19次