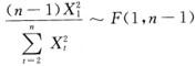
X1,X2,…,Xn为来自N(0,1)的简单随机样本,下列说法正确的是()。A:B:nS2~χ2(n)C:D:

作者: rantiku 人气: - 评论: 0
问题 X1,X2,…,Xn为来自N(0,1)的简单随机样本,下列说法正确的是()。
选项 A: B:nS2~χ2(n) C: D:
答案 D
解析

猜你喜欢

发表评论
更多 网友评论0 条评论)
暂无评论

访问排行

Copyright © 2012-2014 恰考网 Inc. 保留所有权利。 Powered by tikuer.com

页面耗时0.0422秒, 内存占用1.03 MB, Cache:redis,访问数据库20次