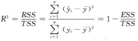
关于多元线性回归方程的拟合优度说法正确的是()。A:又称为样本决定系数B:取值在0和1之间C:越接近于1表示拟合效果越好D:R2=ESS/TSS

作者: rantiku 人气: - 评论: 0
问题 关于多元线性回归方程的拟合优度说法正确的是()。
选项 A:又称为样本决定系数 B:取值在0和1之间 C:越接近于1表示拟合效果越好 D:R2=ESS/TSS
答案 ABC
解析

猜你喜欢

发表评论
更多 网友评论0 条评论)
暂无评论

访问排行

Copyright © 2012-2014 恰考网 Inc. 保留所有权利。 Powered by tikuer.com

页面耗时0.0396秒, 内存占用1.03 MB, Cache:redis,访问数据库14次